Buzdugan I.D., Mogan Gh.L. Proiectarea roboților. Universitatea Transilvania din Brașov

 

Subcap.R.5.2 Alegerea servomotorului electric de acționare

 

Parametrii ….

https://www.youtube.com/watch?v=1wxIfK3ocXo

 

 

 

 

 

Alegerea tipului servomotorului

Tipul motorului de acționare depinde de sursa energetică disponibilă, de condițiile de lucru și de caracteristicile mediului. Motoarele electrice au sursa de energie universală și sunt caracterizate de simplitate constructivă, serii largi de fabricare, silențiozitate, fiabilitate mărită și comandă relativ simplă (viteza ușor de reglat). Putererile și momentele de acționare sunt relativ scăzute, pentru a se menține dimensiunile de gabarit și masele la valori relativ mici. Pentru antrenarea sistemelor mecanice cu momente motoare mărite, sunt necesare transmisii intermediare, de obicei reductoare de turație (amplificatoare de moment). Realizarea de mișcări de translație, în cazul acționării cu motoare electrice rotative, frecvent întâlnite în practică, implică utilizarea de mecanisme de transformare a mișcării sau, în cazuri mai rare, utilizarea de motoare electrice liniare.

 

Un motor de acționare adecvat diverselor situații de funcționare și regimurilor de lucru specifice sistemelor mecatronice trebuie îndeplinească următoarele condiții:

-        furnizarea puterii de acționare pentru o perioadă de timp determinată;

-        efectuarea mișcării cerute pe o durată determinată;

-        demararea într-o periodă de timp convenabilă sau impusă; - un număr de demarări succesive impus într-un interval de timp dat.  

Criterii de alegere a motoarelor de acționare

A. Alegerea motorului de acționare se face, având la bază cataloage de firmă, cu luarea în considerare factorului de supraîncărcare pm și a condițiilor de funcțonare evaluabile prin factorii de corecție de temperatură kT și de altitudine kh, respectând relația,

în care PN este puterea nominală a motorului din catalog și PNn = max(PNm, PNa) - puterea nominală de acționare necesară, indusă de realizarea mișcării subsistemului antrenat într-o perioadă de timp impusă (PNm) sau accelerării acestuia într-un interval de timp dat (PNa), determinabilă în două situații posibile.

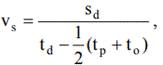
A1. Puterea necesară de acționare, în vederea realizării mișcării subsistemului antrenat, implică efectuarea deplasării sd, în perioada de timp impusă td (criteriul duratei mișcării). Din ecuația spațiului (fig. 1)

rezultă expresia vitezei în regim staționar,

unde tp și to sunt timpii de accelerare la pornire și, respectiv, la oprire. Dacă tp = to, această relație devine

 

 

Fig. 1 Lege de mișcare cu accelerație constată

 

Sarcina realizată de motor în timpul mișcării este variabilă, consecință a neconstanței sarcinii rezistente. Puterea maximă de antrenare a motorului se determină cu relația,

 

(pentru translație)

 

sau

 

Pmax = Mmax ωs (pentru rotație).

 

în care Qmax sau Mmax  este maximul sarcinii (forță sau moment) de antrenare. Aceasta se determină cu ajutorul funcției de transmitere a sarcinii de către transmisia mecanică, Qm = Qm(Qi), când s [0, sd]. Puterea de acționare necesară, ținând cont de randamntul η al transmisiei, este

 

 

În cazul în care timpii de accelerare și de fânare sunt mult mai mici în raport cu timpul de mișcare, expresia puterii de acționare devine,

 

.

A2. Puterea necesară de acționare se poate determina și din considerații practice, legate de realizarea mișcării cu viteză impusă și cu durata accelerării limitată la o valoare maximă tpmax (criteriul duratei de accelerare). Din ecuația de mișcare a sistemului din fig. 2, rezultă accelerația instantanee a sistemului de antrenare,

 

,

 

și, în consecință, timpul necesar pentru a ajunge la viteza unghiulară ω,

 

 

unde, Mm, Jm sunt momentul motor și momentul de inerție al motorului și Mr, Jr - momentul rezistent și momentul de inerție al subsistemului antrenat, reduse la axa arborelui motorului. Deoarece în punctul de funcționare N (fig.3,a), determinat de intersecția caracteristicilor sarcină-viteză ale motorului și subansamblului antrenat, Mm – Mr = 0, teoretic timpul de accelerare tinde la infinit, cu valori ale vitezei unghiulare ω foarte apropiate de viteza unghiulară de regim staționar ωs (fig.3,b). Însă, pentru a se determina timpul de accelerare, evitând această nedeterminare, practic se consideră sistemul de antrenare s-a accelerat când viteza unghiulară ω atinge valoarea ωp = (0,95…0,99)ωs.

Fig. 2 Parametrii unui subsistem de antrenare de rotație

Fig. 3 Condiții de funcționare la regim staționar

 

Astfel, relația de mai sus, în care momentele de inerție și rezistent sunt considerate constante, ia forma,

 

 

care prin transformări matematice simple devine,

 

 

Notând,

 

 

factorul de accelerare, expresia timpului de accelerare poate lua una din formele:

 

.

 

Factorul de accelerare este adimensional, nu depinde de forma caracteristicii moment-viteză a motorului sau a subsistemului antrenat, dar depinde de poziția punctului de funcționare care, pentru câteva cazuri tipice, este prezentat în tab. 1 în funcție de factorii,

 

Tab. 1

 

Pentru a se realiza antrenarea subsistemului rezistent în timpul impus tpmax (criteriul duratei de accelerare), din inecuația,

 

 

se determină puterea nominală necesară de acționare,

 

 

B. După adoptarea tipului motorului, precum și a puterii nominale, se impune determinarea vitezei de funcționare, în concordanță cu funcția de transmitere a transmisiei mecanice. În general, în această etapă se urmărește adoptarea soluției optime, care presupune minimizarea costurilor motorului și transmisiei. Motoarele rapide, de regulă, sunt mai ușoare și mai ieftine decât cele cu viteze reduse, dar, de obicei, obținerea parametrilor de antrenare (de mișcare și sarcină) implică transmisii mecanice intermediare adecvate. Pe de altă parte, în multe situații practice, inclusiv cele specifice roboților industriali, masa și gabaritul subsistemului de antrenare adoptat au importanță deosebită. Presupunând tipul și puterea nominală a motorului sunt cunoscute și motorul de acționare poate furniza, în regim staționar, puterea de antrenare Ps corespunzătoare punctului de pe caracteristica puterii, se poate determina, pentru un caz concret, viteza în regim staționar ωs, punctul de funcționare de pe caracteristica sarcină-viteză a motorului (v. fig. 7.3,a) și momentul motor în regim staționar Ms.

 C. Determinarea constantei constructive (raport de transmitere) a transmisiei mecanice este posibilă în două cazuri distincte:

C1. Viteza motorului este impusă. În cazul în care viteza subsistemului de antrenare este de rotație qi = ωi și viteza de regim staționar a unui motor rotativ este ωs, raportul de transmitere global se poate calcula cu relația,

 

C2. Forța (momentul) motorului, impusă. Cunoscând valoarea momentului de antrenare al transmisiei Qi = Mi și momentul în regim staționar al motorului, raportul de transmitere global, se poate determina cu relația,

 

 

în care η este randamentul total al transmisiei intermediare.

D. Verificarea frecvenței pornirilor-opririlor. Există diverse aplicații practice, inclusiv la structurile roboților industriali, când motoarele sunt pornite și oprite cu frecvență mărită. În cataloagele firmelor, de obicei, se indică numărul limită N0 de porniri-opriri suportate de motor fără a se depăși temperatura admisibilă la mersul în gol. Numărul de porniri-opriri admisibil, în cazul unei aplicații concrete, se poate determina cu relația,

 

 

în care: Mmr este momentul mediu rezistent în timpul accelerării de pornire, Mmp - momentul motor mediu de accelerare la pornire, Jr - momentul de inerție al subsistemului antrenat redus la axa motorului, Jm - momentul de inerție al subansamblului motorului. 

 

Algoritm de alegere a motoarelor de acționare de poziționare

În lista de cerințe specifică alegerii unui motor de acționare de poziționare se includ date calitative, dar mai ales cantitative despre legea de mișcare, condițiile de funcționare, regimurile de funcționare, caracteristica rezistentă a subsistemului antrenat etc. Alegerea tipului, caracteristicilor și dimensiunilor unui motor de acționare respectând cerințele din mai sus, implică parcurgerea următoarelor etape:

A. Alegerea tipului motorului, ținând cont de condițiile și regimurile de funcționare impuse.

B. Determinarea vitezei  și accelerației  necesare pentru legea de mișcare adoptată.

C. Adoptaea vitezei unghiulare nominale (ωN) a motorului, din cataloagele de produs (v. ….).

D. Adoptarea tipului transmisiei intermediare și a funcțiior de transmitere, cu identificarea constantei constructive (raportului de transmitere)

 

 

E. Calculul momentului motor Mr și de inerție Jr, reduse la axa motorului, luând în considerare constanta de transmitere adoptată.

F. Alegerea prin iterație a motorului cu momentul de inerție Jm și momentul motor nominal MN, ținând cont și de sarcina dinamică, cu ajutorul relației,

 

 

G. Verificarea satisfacerii condiției,

 

 

Dacă nu este îndeplinită această restricție, după caz, se modifică valoarea constantei iT sau se alege alt motor. Valori inferioare ale momentului de inerție al motorului (Jm = 0,1 Jr) pot provoca instabilități ale subsistemului de comandă. H. Calculul puterii nominale necesare a motorului și alegerea motorului, cu relația,

în care PN este puterea nominală a motorului din catalog și PNn = max(PNm, PNa) - puterea nominală de acționare necesară, indusă de realizarea mișcării subsistemului antrenat într-o perioadă de timp impusă (PNm) sau accelerării acestuia într-un interval de timp dat (PNa).

I. Alegerea din catalog a dimensiunilor motorului